Common operations

  • Vectors and matrices
    • In NumPy, vectors will be 1D (most of the time)
      • In other conventions a vector is treated as 2D
  • Common operations in vectors and matrices
    • Dot Product/Inner product
      • Takes 2 vectors, multiplies them element wise, then add those products together
      • Both input vectors must have the same shape
    • Matrix multiplication
      • Just doing a bunch of mini dot products
      • Dot row 1 of and column 1 of and so on
      • Number of columns of a = Number of rows of b
        • Inner dimensions must match
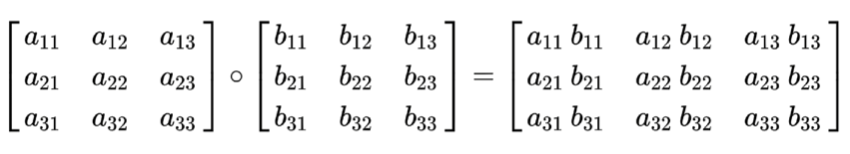
    • Element-wise product
      • Not so common in linear algebra, but very common in ML
    • We can solve linear systems (solving for x)
    • Inverse:
    • Determinant:
    • Choosing random number/matrix from distribution (eg. Uniform, Gaussian)

Applications of linear algebra (and numpy)

  • Linear regression
  • Logistic regression
  • Deep NNs (everything in deep learning)
  • K-meansclustering
  • density estimation
  • PCA
  • Matrix factorization (recommender systems)
  • SVM
  • Markov models
  • Control systems
  • game theory
  • operations research
  • portfolio optimization